镁铝尖晶石(MgAl2O4)是由MgO和Al2O3组成的组成的复合矿物,其理论化学组成为MgO28.33%,Al2O371.67%。它具有耐高温,热膨胀率低,热震稳定性好,耐侵蚀等优良的高温使用性能,尖晶石质的耐火材料广泛地应用于钢包、活性石灰窑和水泥回转窑等热工设备上。电熔镁铝尖晶石是通过三相电弧炉将轻烧镁粉及氧化铝加热至熔融态,然后再缓慢冷却而成为固态的镁铝尖晶石,电熔合成镁铝尖晶石较烧结合成镁铝尖晶石晶体粗大、致密度高。但电熔过程电耗大,成本高。为了改善这一缺点,有研究表明,如添加ZrO2、Cr2O3、Al2O3微粉可以降低MgAl2O4的合成温度。在不明显降低尖晶石高温性能的情况下,为改善其烧结性能,本次重点研究TiO2添加剂对电熔合成镁铝尖晶石的组成,结构及性能的影响。
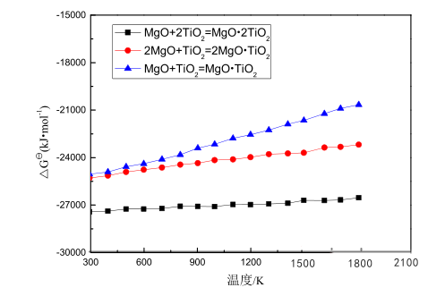
1.1试样制备 表1试样配比 按表1配料,将各配方物料置于搅拌桶中进行混炼,10min震动后使物料混炼均匀。加入三相电弧炉中(额定功率860W)加热20min,空气冷却24h,取出融坨,破碎。 1.2结构及性能的表征 采用荷兰X’pert-Powder型X射线衍射仪对试样的物相组成进行分析(CuKɑ1辐射,管压:40kV,管流:40mA,步长0.02°,扫描范围10°~90°),并利用X射线衍射仪配套软件X’pertHighscorePlus对试样中主晶相镁铝尖晶石的晶格常数进行计算;采用德国Zeiss-åIGMAHD型场发射扫描电子显微镜分析试样断口的微观形貌。 MgO和TiO2之间有如下反应: 由(1)~(3)式的吉布斯自由能ΔG!和温度T的关系,经计算可得,在实验温度范围内,正钛酸镁、偏钛酸镁、二钛酸镁分别的生成趋势如图1,反应从易及难的顺序为MT2>M2T>MT。 除此之外,氧化镁和二氧化钛之间生成的产物也要受到不同质量比(MgO/TiO2)的影响,正钛酸镁、偏钛酸镁、二钛酸镁分别的生成趋势随初始原料配比的变化而变化。在本课题中,由于二氧化钛作为外加剂,最多加入量为8wt%,因此可认为本研究条件下,n(MgO/TiO2)>2。在该摩尔比条件下,会发生如下反应: 本研究条件下熔点为2800℃的氧化镁可以熔化,说明炉温至少为3000K,而3000K时,表明在本研究条件下,正钛酸镁为最稳定相。 在镁铝尖晶石、正钛酸镁和钛酸铝三相之间,钛酸铝相最不稳定性,当存在MgO的条件下,会发生如下反应: 根据上式可知,在3000K时,氧化镁和钛酸铝之间的反应很剧烈,钛酸铝在本实验条件下很快被分解。并且,由以下反应: 可以看出,在3000K时,镁铝尖晶石和二氧化钛之间的反应不能发生,故可知在本实验条件下,镁铝尖晶石在热力学上稳定,并不和二氧化钛发生反应。 综上,在本实验条件下,如不考虑杂质元素的影响,镁铝钛材料的相组成为M+MA+M2T,这与MgO-Al2O3-TiO2三元相图相一致。 不同二氧化钛加入量的镁铝尖晶石的XRD图谱如图2所示,由图2可知电熔合成试样相组成为尖晶石、正钛酸镁及方镁石。通过衍射峰的强度可以判断主晶相为镁铝尖晶石。随着二氧化钛的加入,主晶相镁铝尖晶石的衍射峰强度减弱,钛酸镁的衍射峰强度增强,并且镁铝尖晶石和钛酸镁的衍射峰值的位置发生了侧移(2θ为68°附近),而与正尖晶石的衍射峰不一致,这表明其衍射峰值从钛酸镁处向镁铝尖晶石处偏移,推测是钛酸镁与镁铝尖晶石形成固溶体。若镁铝尖晶石和钛酸镁形成固溶体,则镁铝尖晶石的晶胞体积将会变大。采用X’PertPlus软件对试样的XRD图谱进行拟合,分析试样中镁铝尖晶石相的晶胞参数和晶胞体积随二氧化钛不同加入量的变化。 镁铝尖晶石材料的主晶相镁铝尖晶石相为典型的立方晶系。在立方晶系中,晶面指数(hkl)、晶格常数a及晶面间距d满足的关系。本研究选定镁铝尖晶石相的(311)、(400)、(440)三个特征晶面,分析二氧化钛的加入量对镁铝尖晶石晶胞参数和晶胞体积的影响,由于镁铝尖晶石相为立方晶系,可求得镁铝尖晶石的晶胞体积V=a3,得到表2所示数据。 根据表2中镁铝尖晶石晶胞参数和晶胞体积的变化规律能够看出:随着二氧化钛加入量的增加,镁铝尖晶石的晶胞参数和晶胞体积呈现先增大后减小的变化规律。这与上述的推测相吻合,由于高温下钛酸镁相会进入镁铝尖晶石晶格中与镁铝尖晶石形成固溶体,使晶胞体积增大。但当二氧化钛的加入量由5wt%提升至8wt%时,试样中的主晶相镁铝尖晶石的晶胞参数和晶胞体积反而有所降低,推测是由于过量的钛酸镁相分布于晶界处,增大晶界迁移阻力,镁铝尖晶石的长大受到限制,使镁铝尖晶石的晶胞参数和晶胞体积值减小。 图3为二氧化钛加入量为5%试样断口及光片的SEM照片,其中主晶相为复合尖晶石固溶体(MA-TiO2),次晶相为钛酸镁,还含有少量的硅酸盐相位于晶界处,复合尖晶石晶粒之间直接结合,钛酸镁弥散的均匀分布于复合尖晶石固溶体中,大部分钛酸镁与镁铝尖晶石镁铝尖晶石形成固溶体,少量的钛酸镁分布于晶界处。主晶相复合尖晶石固溶体是由于二氧化钛与镁铝尖晶石之间形成置换型固溶体,而由于离子半径不同,钛离子的离子半径为0.068nm,铝离子的离子半径为0.051nm,该置换是一种不等价置换,2个钛离子取代2个铝离子形成1个氧离子间隙,致使镁铝尖晶石的晶胞参数a值增大。有研究表明二氧化钛与镁铝尖晶石固溶最大量为2wt%,由图3可知,少量二氧化钛固溶进入镁铝尖晶石间隙,而过量的二氧化钛与氧化镁形成钛酸镁,一部分固溶到镁铝尖晶石中,一部分位于晶界处。若位于晶界处的钛酸镁过多,会阻碍镁铝尖晶石的长大,降低烧结性能,故在电熔法制备镁铝尖晶石时,二氧化钛的加入量不宜超过5wt%。 (1)二氧化钛为外加剂可以增大镁铝尖晶石的晶胞参数和晶胞体积、增加材料的体积密度进而提高材料的烧结性能。 (2)随着二氧化钛加入量的增加镁铝尖晶石的晶胞参数和晶胞体积先增大后减小,由于二氧化钛、钛酸镁固溶到镁铝尖晶石中,过量的钛酸镁位于晶界阻碍镁铝尖晶石的长大。在电熔法制备镁铝尖晶石时,二氧化钛的加入量不宜超过5wt%。















